ПОЛНЫЙ РАЗБОР ДОСРОКА ЕГЭ 2026 по профильной математике | Прогноз на основную волну | Alles

ПОЛНЫЙ РАЗБОР ДОСРОКА ЕГЭ 2026 по профильной математике | Прогноз на основную волну | Alles

РАЗБОР ДОСРОКА ЕГЭ 2026 ПО МАТЕМАТИКЕ | первая часть

РАЗБОР ДОСРОКА ЕГЭ 2026 ПО МАТЕМАТИКЕ | первая часть

ТОП самых сложных случаев пунктуации из ЕГЭ | Арина Дробинина | Русский 10 класс

ТОП самых сложных случаев пунктуации из ЕГЭ | Арина Дробинина | Русский 10 класс

ЕГЭ по информатике

ЕГЭ по информатике

ЕГЭ 2026 Разбор варианта. Резерв основной волны ЕГЭ по информатике 2024. Задания 24 и 25 за 6 минут

ЕГЭ 2026 Разбор варианта. Резерв основной волны ЕГЭ по информатике 2024. Задания 24 и 25 за 6 минут

Сборник ЕГЭ по географии от ФИПИ. Разбор 6 варианта

Сборник ЕГЭ по географии от ФИПИ. Разбор 6 варианта

Это будет на ЕГЭ по профильной математике. Московский пробник от 06.04.2023. Задания 13 15 16

Это будет на ЕГЭ по профильной математике. Московский пробник от 06.04.2023. Задания 13 15 16

Это будет на ЕГЭ по профильной математике. Московский пробник от 06.04.2023. Задания 14 17 геометрия

Это будет на ЕГЭ по профильной математике. Московский пробник от 06.04.2023. Задания 14 17 геометрия

#егэ2026 #егэрусскийязык #егэпорусскому #русскийязык

#егэ2026 #егэрусскийязык #егэпорусскому #русскийязык

Зачем Екатерина II осталась в России #егэ2026 #егэистория #историяроссии

Зачем Екатерина II осталась в России #егэ2026 #егэистория #историяроссии

Затащи ПАРАМЕТР на ЕГЭ 2026 и получи 8 БАЛЛОВ!

Затащи ПАРАМЕТР на ЕГЭ 2026 и получи 8 БАЛЛОВ!

На металлическую пластинку падает пучок монохроматического света. При этом наблюдается — №28538

На металлическую пластинку падает пучок монохроматического света. При этом наблюдается — №28538

При помощи миллиамперметра измеряется ток в некоторой электрической цепи. Миллиамперметр — №28633

При помощи миллиамперметра измеряется ток в некоторой электрической цепи. Миллиамперметр — №28633

1) Сила — векторная величина, равная произведению массы тела на сообщаемое ему ускорение. — №28541

1) Сила — векторная величина, равная произведению массы тела на сообщаемое ему ускорение. — №28541

Два бруска массами М1 = 1 кг и М2 = 3 кг соответственно, лежащие на гладком горизонтальном — №22128

Два бруска массами М1 = 1 кг и М2 = 3 кг соответственно, лежащие на гладком горизонтальном — №22128

Какое количество теплоты надо сообщить в изобарном процессе трём молям одноатомного — №30034

Какое количество теплоты надо сообщить в изобарном процессе трём молям одноатомного — №30034

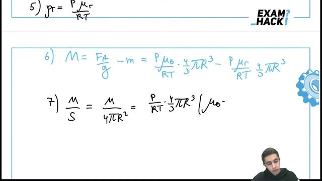
Сферическую оболочку воздушного шара наполняют гелием при атмосферном давлении 10^5  Па — №29355

Сферическую оболочку воздушного шара наполняют гелием при атмосферном давлении 10^5 Па — №29355

Ученику необходимо на опыте обнаружить зависимость объема газа находящегося в сосуде под — №28961

Ученику необходимо на опыте обнаружить зависимость объема газа находящегося в сосуде под — №28961

Равнобедренный прямоугольный треугольник ABC площадью 50 см2  расположен перед тонкой — №30978

Равнобедренный прямоугольный треугольник ABC площадью 50 см2 расположен перед тонкой — №30978

На гладкой горизонтальной плоскости лежат два груза массами m1 = 1 кг и m2 = 2 кг — №31064

На гладкой горизонтальной плоскости лежат два груза массами m1 = 1 кг и m2 = 2 кг — №31064

На рисунке изображён график циклического процесса, совершаемого один молем идеального газа — №24213

На рисунке изображён график циклического процесса, совершаемого один молем идеального газа — №24213

При выполнении лабораторного опыта ученик собрал электрическую цепь, схема которой — №38718

При выполнении лабораторного опыта ученик собрал электрическую цепь, схема которой — №38718

От точечного источника света S, находящегося на главной оптической оси тонкой собирающей- №37703

От точечного источника света S, находящегося на главной оптической оси тонкой собирающей- №37703

Однородное электростатическое поле создано равномерно заряженной протяженной горизонтально №38717

Однородное электростатическое поле создано равномерно заряженной протяженной горизонтально №38717

Неразветвлённая электрическая цепь состоит из источника постоянного тока и внешнего — №2853

Неразветвлённая электрическая цепь состоит из источника постоянного тока и внешнего — №2853

Площадь с нуля до ЕГЭ | Как не учить формулы площадей и фигур КИМ1

Площадь с нуля до ЕГЭ | Как не учить формулы площадей и фигур КИМ1

При освещении металлической пластины светом длиной волны λ наблюдается явление — №28512

При освещении металлической пластины светом длиной волны λ наблюдается явление — №28512

С постоянной массой идеального одноатомного газа происходит циклический процесс 1-2-3-4-1 -№32226

С постоянной массой идеального одноатомного газа происходит циклический процесс 1-2-3-4-1 -№32226

1) В инерциальной системе отсчёта импульс системы тел сохраняется, если сумма внешних сил — №28544

1) В инерциальной системе отсчёта импульс системы тел сохраняется, если сумма внешних сил — №28544

На рисунке изображен график зависимости амплитуды А установившихся вынужденных колебаний от -№28745

На рисунке изображен график зависимости амплитуды А установившихся вынужденных колебаний от -№28745

Учитель поручил школьнику проверить, зависит ли период колебаний пружинного маятника от — №28943

Учитель поручил школьнику проверить, зависит ли период колебаний пружинного маятника от — №28943

Маленький шарик массой m закреплён на верхнем конце тонкого лёгкого стержня длиной — №38309

Маленький шарик массой m закреплён на верхнем конце тонкого лёгкого стержня длиной — №38309

На T-p диаграмме (см. рис.) изображен циклический процесс 1−2−3−1, проводимый с 1 молем — №38554

На T-p диаграмме (см. рис.) изображен циклический процесс 1−2−3−1, проводимый с 1 молем — №38554

На рисунке изображена схема электрической цепи, состоящей из источника напряжения с нулевым — №

На рисунке изображена схема электрической цепи, состоящей из источника напряжения с нулевым — №

Брусок массой m=0,1 кг и груз массой М = 0,15 кг связаны невесомой нерастяжимой нитью  — №37867

Брусок массой m=0,1 кг и груз массой М = 0,15 кг связаны невесомой нерастяжимой нитью — №37867

У основания гладкой наклонной плоскости шайба обладает кинетической энергией 0,09 Дж.  — №21209

У основания гладкой наклонной плоскости шайба обладает кинетической энергией 0,09 Дж. — №21209

Модуль сил гравитационного притяжения между двумя шарами, находящимися на расстоянии 4 м- №20974

Модуль сил гравитационного притяжения между двумя шарами, находящимися на расстоянии 4 м- №20974

Скорость тела, совершающего гармонические колебания, меняется с течением времени — №22288

Скорость тела, совершающего гармонические колебания, меняется с течением времени — №22288

Искусственный спутник обращается вокруг Земли по вытянутой эллиптической орбите — №21055

Искусственный спутник обращается вокруг Земли по вытянутой эллиптической орбите — №21055

В момент времени t = 0 мячик бросают с начальной скоростью v0 под углом α к горизонту — №37241

В момент времени t = 0 мячик бросают с начальной скоростью v0 под углом α к горизонту — №37241

© 2026 MICLIP.RU